所屬科目:研究所、轉學考(插大)-微積分
1. Find if 4x²y - 3y = x³ - 1. (10%)
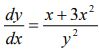
2. Solve
3. Evaluate .
4. Find the volume bounded by 3x + 6y + 4z - 12 = 0, xy-plane, xz-plane and, yz-plane.
5. Prove that converges absolutely.
6. Find the derivative of f(x) = sin[cos(x²)].
7. Find the equation of the tangent line to the curve y³ - xy² + cos xy = 2 at the point (0,1).
8. Find ∫x sin x dx.
9. Find .
10. What is the interval of convergence for .