所屬科目:研究所、轉學考(插大)-微積分
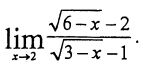
i.
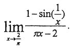
ii.
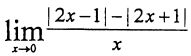
iii.
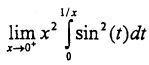
iv.
v.
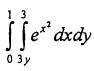
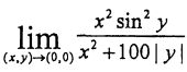
vi.
i.∫ (Inx)2dx
iv.If f(x,y) = xy,evaluatewhere D is the region
bounded by the line y=x-1 and the parabola y2=2x+6.
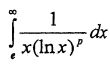
3. (7%) Find the value of p for which the integral converges..
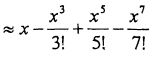
5. (8%) What is the maximum error possible in using the approximation x3 x sinx when -0.5≤x≤0.5.