所屬科目:研究所、轉學考(插大)-微積分
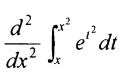
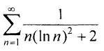
(1)(6分)
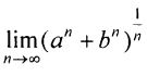
(2)(6分)
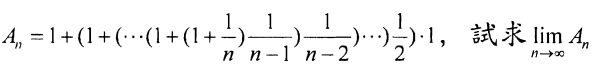
(3)(6分)a>b>0,求
2.(10分)設, 求f'(0)
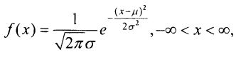
3.(10分)其中μ與σ為兩個固定參數-∞<μ<∞,0<σ<∞, 試求f(x)之極值(extreme point)和曲點(inflection pont)
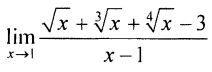
4.(10分) 求
(1)(10分)
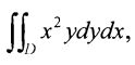
(2)(10分),其中D={(x,y):y≥0,x2+y2≤9}
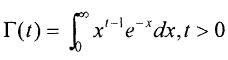
6.(10分)已知Gamma函數,試證Γ(n+1)=n!,n為自然數。
7.(10分)設