所屬科目:研究所、轉學考(插大)-微積分
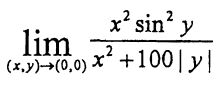
i.
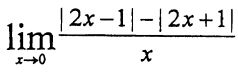
ii.
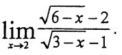
iii.
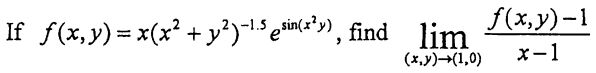
iv.
V.
vi.
i.∫(Inx)2dx
ii.∫sec xdx
iii.∫2x tan-1xdx
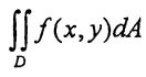
iv. If f(x,y) = xy, evaluatewhere D is the region bounded by the line y=x-1 and the parabola y2 =2x+6.
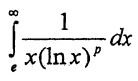
3. (7%) Find the value of p for which the integral dx converges..
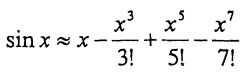
5. (8%) What is the maximum error possible in using the approximation when-0.5 ≤x≤0.5.