所屬科目:研究所、轉學考(插大)-微積分
1. Find the derivative of the function f (x) = when x > 0.
(a)
(b)
3. Find the length of the curve 24xy = x4 + 48 between and .
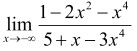
4. Evaluate .
5. Find the length of the cardioid r=1-cosθ.
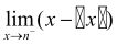
(b) , where is a greatest integer function.
7. (a) Find , given x3+y2-5y-x2+4=0.
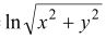
(b) Find first partial derivatives of f(x,y)=.
8. Find the values of c such that the graph of f(x)=x4+2x3+cx2+2x+2 is concave upward everywhere.
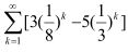
9. Calculate .
10. Find . If the solution is written as C + where C is constant,=?