所屬科目:研究所、轉學考(插大)-微積分
1. parametric curve x = x(t), y = y(t) when t=2, x(2)=4, x'(2)=2, x"(2)=5, y(2)=2, y'(2)=2, y"(2)=1,find(X=4)=?
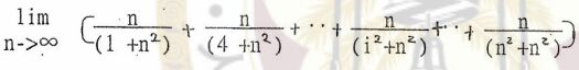
2.=?
3. Use Lagrange multiplier or any other method to find the maximum and minimun of f(x,y) = x3 + y3 + 3xy in the closed unit disk x2+ y2≦1.
5. Suppose that a bank teller takes an exponentially distributed len of time with mean μ= 2 minutes to serve each customer. If there is already one customer waiting in line, what is the probability that you will wait for more than 6 minutes?