所屬科目:研究所、轉學考(插大)-微積分
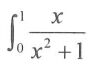
(1) Find the value of the integral .
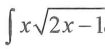
(2) Find the value of the integralcos4x dx.
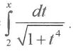
(3) Find dx.
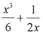
(5) If f(x) =, find f'(1).
(4) Find the value of the integralf(x) dx.
(1) Find the arc length of the graph of y = on the interval [, 2].
7. (10 分) Let R be the annular region lying between the two circles x2 + y2 = 1 and
x2 + y2 = 5. Evaluate the double integral (x2 + y2) dA.