所屬科目:研究所、轉學考(插大)-微積分
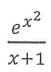
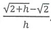
(b) (4 points) Evaluate limh→0.
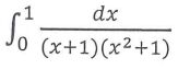
4. (8 points) Evaluate the integral.
(b) (8 points) (x+1)- 2(x² + x)y = , x>−1, y(0) = 5.
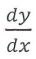
(b) (8 points) Find if 2x³ - 3y² = 8.
7. (8 points) Find the length of the parameterized curve x = t³, y = , 0 ≤ t ≤.
8. (8 points) Find the derivative of function g(y), where g(y) =sin(t²)dt.