所屬科目:研究所、轉學考(插大)-微積分
(e)
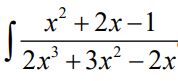
3. Evaluatedx.
6. Find the nth Taylor polynomial for about x =1.
8. Find the directional derivative of f (x,y,z)=x2y-yz3+z at the point (1, -2, 0) in the direction of the vector a .
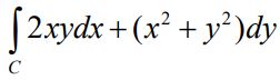
10. Evaluatealong the circular arc C given by x = cos t , y= sin t (0≤t≤π/ 2).