所屬科目:研究所、轉學考(插大)-微積分
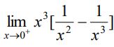
1. = _____________________
2. 符號 [a] 表示為不大於 a 的最大整數, = ____________
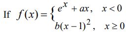
3. is differentiable at 0, then (a, b) = _________
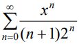
4. What is the interval of convergence of the power series ? ____________
6. If | x |<1 , then find = ______________
1. 符號 [a] 表示為不大於 a 的最大整數,則 之值為何?(10%)
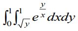
2.(10%)
(a) ,where[∙] is Gaussian function. (6%)
(b) (6%)
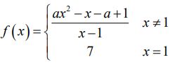
4. Find a such that is continuous at 1. (7%)
5. (1) f is continuous on[a,b ] (2) f is differentiable in (a,b)(3)f'(x)>0 , , Prove that f is strictly increasing on [a,b ](7%)
(a)(6%)
(a) (6%)