阿摩線上測驗
登入
首頁
>
初等/五等/佐級◆電子學大意
> 101年 - 101 地方政府特種考試_五等_電子工程:電子學大意#28930
101年 - 101 地方政府特種考試_五等_電子工程:電子學大意#28930
科目:
初等/五等/佐級◆電子學大意 |
年份:
101年 |
選擇題數:
40 |
申論題數:
0
試卷資訊
所屬科目:
初等/五等/佐級◆電子學大意
選擇題 (40)
1 如下圖所示之差動放大器,其輸出電壓V
o
將與下列何種訊號成正比? (A)V1 (B)V2 (C)V1+V2 (D)V1-V2
.
2 如下圖之MOS差動放大器(Differential Amplifier), Q1=Q 2 ,其臨界電壓(Threshold Voltage)v
t
= 0.5V ,爾利電壓(Early Voltage)V
A
→ ∞ 。當 V
G1
=VG
2
=0 時,若電晶體工作於飽和模式 (Saturation Mode),其汲極電流I
D
與閘源電壓 的關係為 I
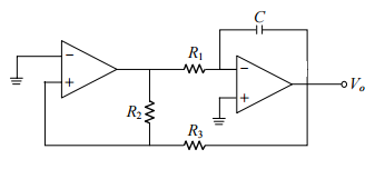
D
=2(VGS-V
t
)
2
(mA)。則輸入之 共模電壓(Common-mode Voltage)V
CM
之最大值可為多大,而仍可維持電晶體工作於飽和模式? (A) 0.5 V (B) 1 V (C) 1.5 V (D) 2 V
.
3 在材料實驗室新領到 MOSFET IC 時,常見到此 IC 腳擺置在 IC 套管內,其主要目的是: (A)增加價值感 (B)證明它是新品 (C)避免因靜電而遭破壞 (D)增加美觀
4 在下列各選項中,那一個選項對MOS電晶體的臨界電壓(Threshold Voltage)Vt的影響最小:(A)通道的寬長比 W/L (B)氧化層的介電常數ε
αx
(C)氧化層的厚度t
ox
(D)半導體的雜質濃度 N
5 某 FET 工作在飽和區(Saturation Region),其 i
D-
V
GS
關係如下圖所示,則此 FET 為: (A)增強型 NMOS (B)增強型 PMOS (C)空乏型 NMOS (D)空乏型 PMOS
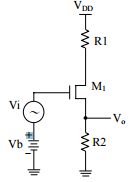
6 如下圖所示之放大器,若電晶體操作於三極管區(Triode Region),下列何種調整方式可使電晶體進 入飽和區(Saturation Region)? VDD (A)增加 R1 (B)增加 Vb (C)選用寬長比(W/L)較大之 MOSFET (D)增加 R2
7 如下圖電路,設二極體為理想二極體。則此電路的輸出電壓Vo為何? (A) 5 V (B) 4 V (C) 3 V (D) 2 V
8 利用三用電錶電阻量測功能來測量二極體,無論測試棒如何接法,指針的指示值均為高值,則表示 此二極體的狀況最可能是: (A)正常 (B)短路 (C)斷路 (D)無法判斷
9 關於 P-N 接面二極體之敘述,下列何者錯誤? (A) P 型區域為加入三價雜質 (B) N 型區中空乏區離子帶負電 (C)順向偏壓時擴散電容增加 (D)逆向偏壓時空乏電容減少
10 下列何者是形成
pn
接面位能障礙(Barrier)的主要原因? (A)空乏區內的磁場 (B)空乏區內的電場 (C)空乏區內的電容 (D)空乏區內的電感
11 雙極性接面電晶體I
CBO
逆向電流受環境溫度之影響是: (A)溫度每下降 1℃時,則增加 1 倍 (B)溫度每上升 1℃時,則增加 1 倍 (C)溫度每下降 10℃時,則增加 1 倍 (D)溫度每上升 10℃時,則增加 1 倍
12 如下圖所示放大器,若電晶體操作於主動區(Forward Active Region)假設 C 為無窮大且忽略爾利效 應(Early Effect),Vi 為輸入,Vo 為輸出,下列敘述何者正確? (A)該放大器為反相放大器 (B)增加 R1 則增益減少 (C)增加電流 Ib 可增加增益 (D)增加V
CC
可減少增益
13 如下圖所示電路,何者提供直流偏壓的負回授? (A)R
B1
(B)R
B2
(C)R
C
(D)R
E
14 當一BJT電晶體工作在主動模式(Active-Mode)時,IB、I B C、IE間之大小關係為何? (A) I
E
>I
C
>I
B
(B) I
C
<I
B
<I
E
(C) I
E
=I
C
=I
B
(D)I
B
<I
E
< I
C
15 雙極性接面電晶體(BJT)中,下列那種電路組態其輸出阻抗最小? (A)共基極組態 (B)共射極組態 (C)共集極組態 (D)射-基極組態
16 共射極(CE)放大器的高頻響應較差,其主要原因為: (A)爾利效應(Early Effect) (B)通導長度調變效應(Channel Length Modulation Effect) (C)溫度效應(Temperature Effect) (D)米勒效應(Miller Effect)
17 如下圖所示之電路,若BJT操作在主動區(Forward Active Region),轉導值(
gm
)為 10 mA/V,β = 40, 若忽略元件之輸出阻抗 (r
o
),試求 V
o
/V
i
=? (A) 10/11 (B) 82/83 (C) 400 (D) 410
18 如下圖的共射(CE)放大器,設電晶體工作於主動模式(Active Mode),其小訊號參數 gm、 re、rπ 及輸出電阻ro 均為已知,各外加電容均極大。若電晶體之α ≅1,ro → ∞ ,則電壓增益
為: (A) gm R
B
(B) R
C
/ R
B
(C)R
C
/ rπ (D) IR
C
/V
T
19 如下圖所示之理想運算放大器電路,其中 A
o
= ∞ ,求輸出電壓為何? (A)-2V (B)-6V (C)-10V (D)-12V
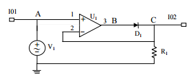
20 有一放大器電路如下圖所示,放大器 為理想的運算放大器,其輸出電壓範圍侷限在+10 V 與-10 V 之間,二極體 D1順向電壓V
DO
=0.7V 。若電阻 R
1
= 1kΩ ,交流電源 V
1
= 5V ,試問節點 C 的輸出 電壓V
C
應落在下列何範圍內? (A) 5.0V≤ VC (B) 4.5V≤V
C
< 5V(C) 4.0V≤V
C
< 4.5V (D) V
C
< 4.0V
21 下圖中電路的放大器為一理想運算放大器,此電路的輸入電阻為何? (A) 10 kΩ (B) 30 kΩ (C) 60 kΩ (D) 80 kΩ
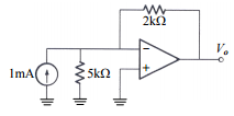
22 下圖中為一轉阻放大器,其電壓輸出 V
o
為何?(A)-2 V (B) 2 V (C)-5 V (D) 5 V
23 如下圖所示之電路,其 MOS 電晶體參數:
μn Cox
=0.5mA/V
2
, V
TN
=0.4V , λ = 0, γ =0 ; 假如 ,v
I
= 3.3 V, φ = 3.3 V ,求準穩態(quasi steady-state)輸出電壓為何? (A) 2.4 V (B) 2.9 V (C) 3.3 V (D) 3.6 V
.
24 有一邏輯閘電路如下圖所示,其中數位邏輯閘使用整個電路相同的電源 V
DD
與接地,但並未顯示於 此電路圖中,而且輸入電壓大致以V
DD
/2 為高低準位的判斷界限。設 NOR 閘 U
1
、U
2
的延遲時間τ
NOR
遠小於電阻 R 電容 C 所組成的時間常數τ
RC
= RC,今於 A 點輸入一脈波如下圖所示,其中 1 代表高準位,0 代表低準位,此脈波在第Ⅱ區的寬度t >>τ
RC
。試研判針對輸出 Y 的波形何者描述 最為可能? (A) Y 在第Ⅰ、Ⅲ區為穩定的低準位輸出 Ⅰ Ⅱ Ⅲ (B) Y 在第Ⅰ、Ⅲ區為穩定的高準位輸出 (C) Y 在第Ⅱ區為穩定的低準位輸出 (D) Y 在第Ⅱ區為穩定的高準位輸出
25 下圖電路為一個使用增強型 PMOS 及 NMOS 所組成之邏輯閘電路,請問此電路所實現之輸出 Y 為何? (A)Y=(A+BC)D(B)Y=A(B+C) + D (C)Y=
(D)Y=
26 下圖 CMOS 邏輯閘的輸入端為 A 和 B,輸出 Y 以正邏輯表示為何? (A) Y=AB (B) Y= A+B (C)Y =
(D)Y=
27 有一BJT,其β=100,已知在室溫下熱電壓V
T
=25mV,I
C
=1mA,則該BJT之小訊號參數rπ值為: (A) 25Ω (B) 250Ω (C) 2.5kΩ (D) 25kΩ
28 在 BiCMOS 的數位電路中,使用 BJT 電晶體是基於它的那一個優點? (A)低消耗功率 (B)高輸入阻抗 (C)寬雜訊邊界 (D)高電流驅動能力
29 下列那一種記憶體在儲存資料設定後不會再更改? (A) ROM (B) DRAM (C) SRAM (D) Flash Memory
30 下圖為交換電容積分器電路(Switched-Capacitor Integrator),已知 U
1
為理想運算放大器,Φ1與Φ 2為 不重疊的雙相時脈(Nonoverlapping Two-Phase Clock),用來控制電晶體 的開關狀態。若 欲獲得反相輸出,試問 、 與C之時脈如何規劃? (A) A =Φ
2
; B =Φ
1
;C =Φ
2
(B) A =Φ
2
; B =Φ
2
;C =Φ
1
(C)A =Φ
1
; B =Φ
2
;C =Φ
2
(D) A =Φ
1
; B =Φ
1
;C =Φ
2
31 一維持工作於飽和模式(Saturation Mode)的MOSFET,若其過驅電壓(Overdrive Voltage)V
OV
增為兩 倍,則其汲極電流ID會如何變化? (A)增為 4 倍 (B)增為 2 倍 (C)減為一半 (D)減為四分之一
32 下圖中高通濾波器運算放大器電路, R
1
= 20 kΩ 下,其高頻增益為 15,低頻響應之角頻率 (ω) 為 5×10
3
rad/s,試求 R
2
及C 值為何? (A) R
2
= 280 kΩ ,C = 10nF (B) R
2
= 300 kΩ , C= 10nF (C) R
2
= 280 kΩ , C =10pF (D) R
2
= 300 kΩ ,C = 10pF
33 如下圖所示之理想運算放大器振盪電路,L =1mH,C
1
= C
2
= 30pF,若不考慮 對回授網路之負載 效應,當電路振盪時其振盪頻率為何? (A) 0.6 MHz (B) 0.9 MHz (C) 1.3 MHz (D) 1.9 MHz
34 下圖振盪器電路中,若 R
1
=100 kΩ 、R
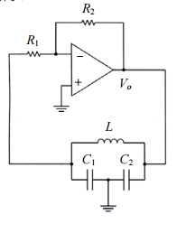
2
= 200 kΩ 、 R
3
=100 kΩ 及C=1nF ,則振盪頻率約為多少? (A) 530 Hz (B) 1.5 kHz (C) 5 kHz (D) 10 kHz
35 如下圖所示之電路,假設 BJT 電晶體操作在順向主動區, I
C
= 0.838mA, V
T
= 26 mV,β=100 , Cπ = 24pF,Cμ = 3pF ,忽略爾利(Early)效應以及其它電容效應,求輸入端之-3 dB 頻率為何? (A) 123 MHz (B) 223 MHz (C) 323 MHz (D) 423 MHz
36 如下圖所示之電路,假設 BJT 電晶體操作在順向主動區,忽略爾利(Early)效應與元件內之極間電容 效應,假使此 BJT 之轉導(transconductance)為 70 mA/V, β =100 ,求此電路之轉折(corner)頻 率為何? (A) 131 Hz (B) 231 Hz (C) 331 Hz (D) 431 Hz
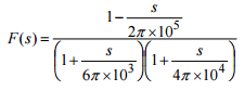
37 有一放大器電路的轉移函數(Transfer Function)F(s) 如下所示,其中 s= jω = j2πf :
試問此轉移函數可能的頻率響應特性為何? (A)高通響應(High-Pass Response) (B)低通響應(Low-Pass Response) (C)帶通響應(Band-Pass Response) (D)帶斥響應(Band-Reject Response)
38 下圖中 R
1
=1 kΩ、 R2 =1 kΩ 、C1 = 1μF 。則此電路之 -3 分貝頻率約為多少? (A) 40 Hz (B) 80 Hz (C) 120 Hz (D) 160 Hz
39 如下圖為一 MOSFET 共源極架構放大器,下列何者是其高-3 dB 頻率?
(A)
(B)
(C)
(D)
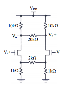
40 如下圖所示之電路,若MOSFET操作在飽和區(Saturation Region)且轉導值(g
m
) 為 1 mA / V。若忽 略元件之輸出阻抗(ro) ,Vo 為Vo+ 及Vo
-
間之壓差, Vi為Vi+及Vi
-
間之壓差,試求Vo / Vi =? (A) 10/3 (B) 20/3 (C) 5 (D) 10
申論題 (0)