所屬科目:研究所、轉學考(插大)-微積分
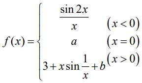
1, (10%) Let Find a,b such that f is continuous at 0.
(a)
3.(10%) Prove that |cos ax-cos ay |≤|a|| x-y|
4.(12%) z=g(xy)+xf (cos3x , x2y) Find
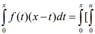
5. (10%) Suppose f (x) is continuous. Prove thatf( t )dt ]du .
(1)
(2)
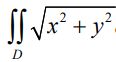
(3)dxdy , where D={(x,y)|x2+y2≤2x}
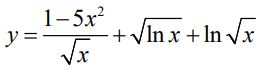
(a)Use differential to estimate
(b) Let.
i. Show that (0,0)=0 and (0,0)=0
ii Is f differentiable at 0,0 ?