所屬科目:教甄◆物理科專業
1.在一遊樂活動中,有人搭乘自由落下的滑車,如圖所示。若搭車 的人手持一球,在滑車自由落下的過程中,投中距離起始位置的 水平與垂直距離均為d=20 的靶,就可獲獎。若球以初速 v = 20m/s 水平拋出,則投球者應在滑車開始下落多少秒,拋出手 中的球,才可擊中靶?( ) (A)一開始就要丟出 (B)1 (C) 2 (D)不知靶高故無法計算 (E)初速 太小,根本無法擊中靶 。
2.一均勻細桿,長 1 公尺,重量為 W ,在距離其上端 25 公分處以 一釘子將此細桿釘在鉛直牆面上,使細桿可繞此釘子無摩擦地 旋轉。今施一水平力 F 於其上端,使細桿偏離鉛垂線30 ° 角如圖, 則在平衡時,下列敘述何者正確: (A)水平力 F 的量值為W(B)對上端施力點而言,總力矩為零 (C)釘子作用在細桿上力與細桿垂直 (D)釘子作用在細桿上力之 量值為 W (E)釘子作用在細桿上力之量值為 W 。
3.一繩長為 L,擺錘質量為 m,錐角為 Θ 之錐動擺如圖所示,則 擺錘繞轉一週,擺繩張力作用在擺錘上之衝量為何? (A) 0 (B) 向上 (C)向圓心 (D)向懸掛點 (E) 向上。
4.如圖所示,甲、乙兩輛無摩擦且完全相同的小車,質量均為 M ,乙車內用繩懸吊一質量為 M 的小球,當乙車靜止時, 甲車以速度 v 與乙車相碰,碰後連為一體,試求當小球盪到最 高點瞬間速率為何?(A) v (B) v (C) v (D) v (E) 0 。
5.如圖,2kg 的小物塊繫於繩的一端,繩子通過水平無摩擦面上 的一個洞,小物塊原以 3 m s 之切線速率,在距洞 1m 的圓周 上旋轉。今自下方將繩子緩緩下拉,使物塊所循圓周之半徑 逐漸減小。假如繩之斷裂強度為 486N,且自開始下拉至繩子 斷裂的過程,小物塊相對於圓心 O 之角動量量值始終不變,則拉力對物塊作功多少? (A)0 (B)9 (C)72 (D)144 (E)729 J。
6.如圖所示,質量 M 之均勻方形盒靜置於光滑的水 平面上,自其頂部的中央 A 點,以長度 5.0cm 之 細繩懸吊一質量 的質點,開始時該質點靜 止且繩與鉛直線夾角 β 為 37°,A 點的 x 坐標 O 取 為原點。設重力加速度為 10 m/s2,sin37°= 。對靜立地面的觀察者而言,下列敘述 何者正確? (A)整個系統的動量守恆 (B)整個系統的質心位置固定 (C)整個系統質心的 x 坐標固定在-0.75 cm (D)m 質點擺到最低點時,m 質點的速度為 3.9 cm/s (E)m 質點擺到右 邊最高點時,M 方形盒向左移 1.5 cm。
7.如圖所示,可左右滑動的絕熱隔板 K,將絕熱的汽缸 分隔成體積相等的 a、b 兩室,隔板 K 與汽缸壁都是 光滑的,a、b 兩室中分別盛有相同質量、相同溫度的 同種理想氣體。若氣體分子之間的相互作用位能可忽 略,今利用電熱絲對 a 室氣體加熱一段時間後達到新 的平衡,則: (A) a室的體積增加了 (B) a室的壓力變小了 (C) b室的溫度升高了 (D) a室的氣體溫 度比 b 室的溫度高 (E) a 室增加的內能大於 b 室增加的內能。
8.某單色光在真空中與在甲、乙、 丙三種介質界面上的光路如右 圖所示。則下列敘述何者正確? (A)在三種介質中,甲的折射率最 大 (B)在三種介質中,乙的光速最小 (C)當光由甲介質入射至乙介質中時可能發生全反射 (D)乙介質對甲介質的相對折射率為 0.75 (E)當光由各種介質入射至空氣中時,甲介質的臨界角最大。
10、帶電粒子射入一固定在 O 點的點電荷所形成的電場中,粒子運動軌 跡如圖中虛線 abc 所示。圖中實線是同心圓弧,表示電場的等電位面。 忽略重力的影響,可以判斷下列敘述哪些正確?(A)此粒子一直受到 靜電排斥力作用 (B)粒子在 b 點的電位能一定大於在 a 點的電位能 (C)粒子在 b 點的速度一定大於在 a 點的速度 (D)粒子在 a 點和 c 點的 速度大小一定相等 (E)粒子在 a 點所受的電力量值一定大於在 b 點所 受的電力量值。
11.「歐姆定律」的實驗中,利用伏特計與安培計測量電阻, 若待測電阻值無法預判時,可採用試觸的方式,如右圖所 示,讓伏特計的一端接到電路上的 a 點,另一端先後碰觸 b 、c 兩點,注意觀察兩個電表的讀數,可預判待測電阻 為高電阻或低電阻,則下列敘述何者正確: (A)若安培計讀數有顯著變化,則待測電阻可能為高電阻 (B)若安培計讀數有顯著變 化,則待測電阻可能為低電阻 (C)若伏特計讀數有顯著變化,則待測電阻可能為高 電阻 (D)若伏特計讀數有顯著變化,則待測電阻可能為低電阻 (E)兩者均無明顯變 化,則待測電阻可能為低電阻 。
12.某空間存在著沿 OY 正方向的均勻磁場,大小為 B ,一群同 種帶電粒子(質量為 m ,電量為 q ,忽略粒子間的相互作用), 同時對座標原點 O 以不同的速度 V1,V2,V3….,Vn 射出, 這些初速度間的關係如圖所示,經過最短時間 T 為多少,這 群粒子將會聚集在一起? (A) (B) (C) (D) (E) 。
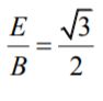
14.如圖,空間中有與水平成 30 0 角斜向下的均強電場 E 與 水平方向的均強磁場 B ,一質量為 m 的帶電粒子沿鉛直 向下作等速直線運動,如圖所示,在不考慮空氣阻力 的前提下,則有關此粒子與電磁場的敘述何者正確 (重力加速度為 g )?(A)此粒子帶正電 (B)此粒子帶電量 (C)電場與磁場的比值 (D)靜電力作負功 (E)磁力做負功 。
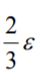
15.如圖所示,兩個互連的金屬圓環,細金屬環的電阻為 粗金屬環電阻的兩倍,磁場 垂直穿過粗金屬環所在 區域,當磁場的大小與時間之關係式為 B = kt,k 為 常數時,在粗環內產生的感應電動勢為ε ,則 a、b 兩 點間的電位差為何?(不考慮兩金屬環間之直線部分的電阻) (A) (B) (C)(D) ε (E) 。
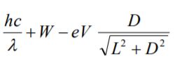
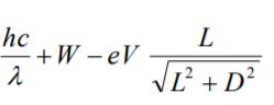
16.如圖所示,波長為 λ 的光子照射功函數為 W 的金屬表 面。由正極板中央 A 點釋出的光電子經由電壓為 V 的 平行電板作用後,最後經由負極上方的小孔 B 逸出。 已知正負極板相距 L ,小孔與負極板中心點相距 D。 假設小孔甚為微小,不會影響電子受電極的加速運 動。則電子由小孔逸出時,其最大動能 K 為何?選項中 e > 0 為電子電荷大小, V > 0, h 為卜朗克常數。 (A) (B)(C) (D) (E)
17.設一質量為 m 的電子其速度遠小於光速,它的動能與一光子的能量相等且均為 E , 若電子的物質波波長為 λ ,則:(A)光子的波長可表為 (B)光子的動量可表為 (C)兩者具有相等的動量 (D)電子與光子的波長比為 (E)電子的物質波波長小於光子的波長。
18.直角坐標平面上,兩質量為 M 的 A、B 質點固定於坐標 (0,d)及(0,–d)上,另一質量為 m,可自由移動的質點 C 置於坐標(x,0)上,如圖所示。若將質點 C 由靜止釋放, 質點 C 會受到 A、B 兩質點的萬有引力而來回運動,下列 敘述何者正確? (A)最初質點所受萬有引力為 (B)最初質點 C 的加速度量值為 (C)若 x= d,則質點 C 的運動週期為 (D)質點 C 經過坐標平面原點時,所受萬有引力為 0 (E)承[C],質點 C 經過坐標平面原點時,其速度量值為 。
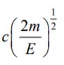
19.一帶負電的粒子,以固定的正電荷為圓心,在均強磁場中作速率 v 之順時針方向圓周運動如圖所示,圓周半徑為 r ,且粒子所受的 靜電力為磁力的 15. 倍,若此時粒子改以同一速率作逆時針方向的 圓周運動,圓周半徑為 R ,則的比值為何? (A) (B) (C) (D) 1 (E) 2 。
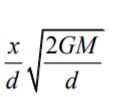
(2)若此小拋體的初速為 ,則此小拋體的運動軌跡為何種形狀? (4) 又此小拋體離開地表之最大高度為 (5) 。