所屬科目:研究所、轉學考(插大)-微積分
1. Find the value of a such that
3. What is the value of the definite integral ?
4. Find f(4) if f(t) dt = x cosπx.
5. Find the length of the curve y =
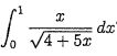
6. Evaluate
7. Find a value for the constant b that will make the radius of convergence of the power series equal to 5.
8. Find the value of a that make f(x, y) =continuous on R2
9. Find the area of the region R in the ay-plane enclosed by the circle x2+ y2 + 4, above the line y = 1, and below the line y =
(a) If F(x,y)= x2i +y2j, find a function f such that F = ∇f.
(b) Evaluate the line integral F . dr, where C is the arc of the parabola y = 2x2 from (-1,2) to (2,8).