所屬科目:研究所、轉學考(插大)-微積分
(1.1) , where x and y satisfy the relation sin(xy) + + 5 = 0.
(1.3) The divergence, div(), and the curl, curl(), of the vector field which is given by (x, y, z) =.
(1.4) The equation of the tangent plane to the ellipsoid = 1 at the point .
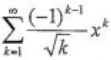
QUESTION 2 (2.1) Show that the series is absolutely convergent.
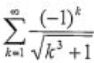
(2.2) Determine convergence or divergence of the series .
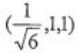
(2.3) Find the convergence interval of the series .
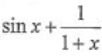
(2.4) Find the power series of the function f(x) = around x = 0.