所屬科目:研究所、轉學考(插大)-微積分
3.是非題 (11)(A)true(B)false
(13)sin2x=(A)true(B)false
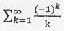
(15) is convergent.(A)true(B)false
1.計算題 A. Find
B. Find
C. Find the area of region R bounded by the graphs of functions y = x2 -4 and y= 2x+3. -1≤x≤1.
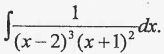
D. Find =?
(2)y=
(3)y=
(4)y=
(6)y=