所屬科目:研究所、轉學考(插大)-微積分
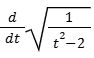
1.求 = ________。
2.求函數x2-y2=2x+4y的所有水平切線的點為______ 。
3.求∫dx=______ 。
4.求=______ 。
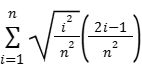
5.求極限=______ 。
6.求∫ = _______。
7.求=_______ 。
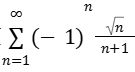
8.判斷級數收斂或發散及其理由為______ 。
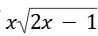
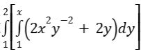
9.求dx =______ 。
10.logistic微分方程式為=ky(1-),求此方程式的一般解 。
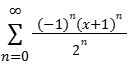
二、計算題:(每小題10分,共40分)1.計算級數的收斂區間。
2.求f(x)=3x3-x2-10x與g(x)=-x2+2x所圍成的區域面積為何?
3.求() = ?
4.令f(x)=ln,求f'(x) = ?