所屬科目:研究所、轉學考(插大)-微積分
1. Find the area of the region between the curves y = x5 and y =.
2. Find ∫x² ln xdx.
3. Evaluate dxdy.
4. Find .
5. If f(x) =.
6. Find given that x3y3 - y = sinx.
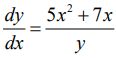
7. Solve .
8. Find the area of the region bounded by the graphs of x = 3-y² and x = y−1.
9. Determine the convergence or divergence of .
10. Find the derivatives of the functions (a) f (x) =, (b) g(x) =.