所屬科目:研究所、轉學考(插大)-微積分
1. (10%) Find the limit:.
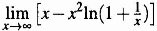
2. (10%)Find the limit:
3. (12%) Give In(x2+y2)+2·=0, find the values of and when x=0 and y=1.
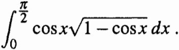
4. (10%) Evaluate
5. (10%) Evaluate ∫x·In(1+x2)dx.
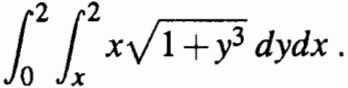
6. (12%) Evaluate
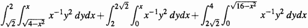
7. (12%) Use polar coordinates to combine the sum into one double integral . Then evaluate the double integral.
8. (12%) Show thatconverges and finds its sum .