所屬科目:研究所、轉學考(插大)-微積分
1. (10 %) Find the limit :
2. (10%) Let
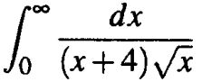
3. (10%) Evaluate
4. (10 %) Solve the differential equation:
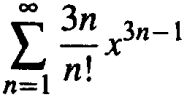
5. (12%)For , determine the interval of convergence and also find its sum.
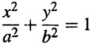
8. (12%) Determine the values of a and b such that the ellipsecontains the circle (x-1)2 +y2 =1 and has least area .
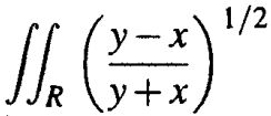
9. (12%) EvaluatedA , where R is the trapezoid in the xy plane bounded by the lines x=0, y=x, x+y=1 and x+y=2.