所屬科目:研究所、轉學考(插大)-微積分
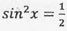
(13).______ (1 + cos2x)(A)O(B)X
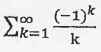
(15) _______ is convergent.(A)O(B)X
A. Find ∫sin2 xcos2 xdx.
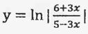
B. Finddx.
C. Find the area of region R bounded by the graphs of functions y = x2 -4 and y = 2x+3. -1 ≤x≤1.
D. Find =?
(2)._______