所屬科目:研究所、轉學考(插大)-微積分
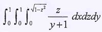
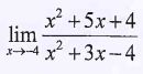
1. (8%)
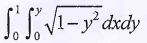
2. (8%)
1.(8%)
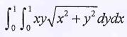
3. (8%)
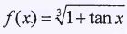
4. (8%)
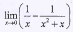
1. (8%).
2 (8%)
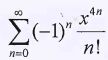
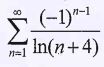
E. Find the sum of the series .(10%)
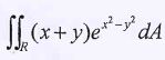
F. Evaluate the integral for by making an appropriate change of variables, where R is the rectangle enclosed by the lines x-y=0, x-y=2, x+y=0,and x+y=3.(10%)