所屬科目:研究所、轉學考(插大)-微積分
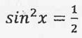
(13).(1+ cos2x)(A)O(B)X
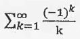
(15)is convergent. (A)O(B)X
A. Find ∫sin2 xcos2 xax.
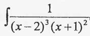
B. Finddx.
C. Find the area of region R bounded by the graphs of functions y = x2 -4 and y= 2x+3. -1 ≤x<1.
D. Find ?
(2)______.
(10) ______.y = In |secx + tanx|