所屬科目:研究所、轉學考(插大)-微積分
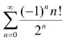
(1)
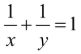
(2)
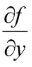
(3) Find of the function by implicit differentiation.
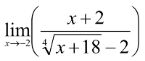
(4)
(5)
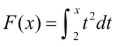
(6) If , use the Fundamental Theorem of Calculus to find F'(x)=?
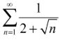
(7) Find .
(8) Find the derivative of F(t)=.
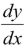
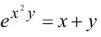
(9) Find if .
(10) Use the shell method to find the volume of the solid generated by revolving the region bounded by the graphs of the equations y=,y=0,x=1,x=5 about the y-axis.
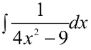
(11)
(12)
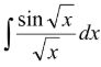
(13) Indefinite integral:=?
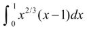
(14) Definite integral:=?
(15)
(16)
(17) Consider the function ln(1-x). If the solution of the power series representation for ln(1-x) on (-1,1) is written as ,=?
(18) Find the equation of the tangent plane to the surface of z=x2+4y2 at the point (-2, 1, 8).
(19) Let =?
(20) Assume that the function value of at A(x, y) has a relative maximum. A(x, y)=?