所屬科目:研究所、轉學考(插大)-微積分
(B). Find = __(2)__ and=__(3)__ at the point x = 1, y = 1 of the curve x3+3x2y+y3=5.
(C). Evaluate=________.
(D). Rotate the region [(x,y) : 0 ≤x ≤π Stand 0 ≤y ≤ sin(x) about the x-axis. Find the volume of the solid obtained.
(E). Let g(x) be the inverse function of the strictly increasing function f(x) = x5 + 3x3 + 1. Theng(x)dx = _________.
(F). The coefficient of x9 in the Taylor expansion of fo dt is________.
(G). Find the direction derivative of f(x, y) = In(x2 + y2) at the point (1,2) in the direction u =.
(I). Evaluatedxdy= __(10)__.
(J). Let f(x,y)=and g(u,u) = f(x(u,U),y(u, U), where x(u,บ) = u2 -3uU + 2U2 and y(u, ข) = น4+ 3นข3 - 4U4. Find at the point u = 1 and u= 1.
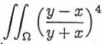
(L). Evaluate dxdy, where Ω is the region in the first quadrant bounded by the lines x+y = 1 and x+y = 2.
(M). Solve the differential equation = 2(1+t)(1+y2)with the initial condition dt y(-1)=0.
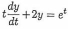
(N). Solve the differential equation with the initial condition y(1) = 2. Answer. __(15)__.