所屬科目:研究所、轉學考(插大)-微積分
(a)Write out the ε-δ definition of the limit f(x) = 2. (5 points)
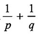
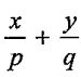
2.Let p, q > 1 with= 1. Prove that ≥ for all x, y ≥ 0. (10 points)
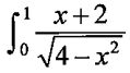
(a)dx (7 points)
(b)3xsin³x dx (7 points)
(c)cos y² dzdydx (8 points)
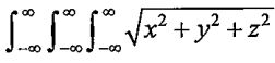
(d)e-(x²+y²+z²) dxdydz (8 points)
6.Use the integral test to show that the series converges if p> 1. (10 points)