所屬科目:研究所、轉學考(插大)-微積分
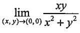
一、1. ___________.
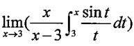
2. = __________. (if it exists)
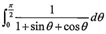
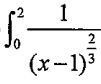
3.=_________.
4. (x5 + sin x + 6 tan x + x) dx =_________.
5. Let f(x, y) = x3-3xy+4y2,. Find(1, 2) =_____.
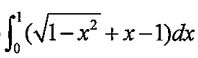
6.dx =______.
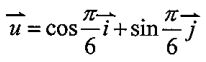
7.=_________.
8. =_________. (if it exists)
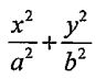
1. Find the area enclosed by the ellipse= 1.
2. Find the arc length of the graph of f(x) =x2 from x = 0 to x = 1.
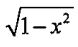
2. Evaluate dydx where R is the semicircular region bounded by the x-axis and the curve y = .