所屬科目:研究所、轉學考(插大)-微積分
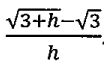
(a) (5 分) Evaluate limh→0.
(b) (5 分) Evaluate limx→0
2. (8 分) Findas a function of t if x = t - t², y = 2t - t³.
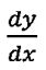
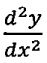
3. (10 分) Find (a) and then (b) if = x - y.
5. (8 分) Find the curve y = f(x) in the xy-plane that passes through the point (9, 4) and whose slope at each point is 3
7. (8 分) Evaluate the integral dx.
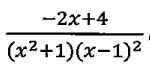
10. (10 分) Evaluate ∫dx.
11. (10 分) Find when u = 0, v = 0 if w = x² + , x = u - 2v + 1, y = 2u + v - 2.