所屬科目:研究所、轉學考(插大)-微積分
2. 若f (x)=x5 ln(4- x),則定積分=? (A)-ln3 (B) ln 3 (C) 2ln3 (D) 3ln3
3. =?(A) (B)1 (C)-1 (D)2
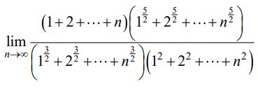
4.=?(A) (B)(C) (D)
5. =? (A) (B) 2 (C) ln 2 (D) e
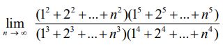
6.=? (A) 0 (B) (C) 1 (D)
二、請將下列各填充題正確答案依題序寫在答案卷上(毋須解答過程)。 (每題 10%,共 30%)
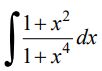
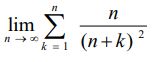
1. =__________ ;
2. =___________;
3. =___________.
2. 已知 f (x) 為三次多項式函數,且在 x =-2 有局部極大值 0 ,又=9,則函數 y = f (x)圖形的反曲點坐標為何?(10%)
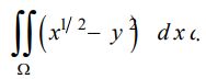
3. 令 Ω 為 y=x2 及 y=x1/4所圍區域. 試求 .(10%)
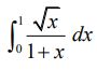
4. 試求 .(10%)