阿摩線上測驗
登入
首頁
>
研究所、轉學考(插大)-微積分
> 102年 - 102 東吳大學轉學生招生考試試題_數學系二年級:微積分#116008
102年 - 102 東吳大學轉學生招生考試試題_數學系二年級:微積分#116008
科目:
研究所、轉學考(插大)-微積分 |
年份:
102年 |
選擇題數:
0 |
申論題數:
18
試卷資訊
所屬科目:
研究所、轉學考(插大)-微積分
選擇題 (0)
申論題 (18)
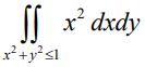
(1)
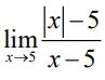
(2)
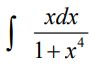
(3)
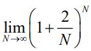
(4)
(5)
(1)
(2)
(3)5x
2
+f(x)
2
=1
(4)e
f(x)
-x+1=0
(5)sin f(x)=x
2
(1)
(2)
(3)
(4)
(5)
(1)Fundamental theorem of calculus 微積分基本定理
(2)Mean value theorem 平均值定理
(3)Intermediate value theorem 中間值定理
相關試卷
114年 - 114 臺灣綜合大學系統_學士班轉學生考試試題:微積分A#137897
114年 · #137897
114年 - 114 臺灣綜合大學系統_學士班轉學生考試試題:微積分B#137819
114年 · #137819
114年 - 114 台灣聯合大學系統_學士班轉學生考試試題:微積分#137762
114年 · #137762
114年 - 114 台灣聯合大學系統_學士班轉學生考試試題:微積分#137761
114年 · #137761
114年 - 114 國立臺灣大學_轉學生招生考試_物理學系/土木工程學系/生物環境系統工程學系/生物機電工程學系:微積分(B)#137745
114年 · #137745
114年 - 114 國立臺灣大學_轉學生招生考試_數學系:微積分(A)#137744
114年 · #137744
113年 - 113 國立嘉義大學_轉學生招生考試試題_(全校):微積分#122986
113年 · #122986
112年 - 112 國立臺灣大學_碩士班招生考試題:微積分(D)#130254
112年 · #130254
112年 - 112 國立陽明交通大學_碩士班入學招生試題_統計學研究所﹕微積分與線性代數#130252
112年 · #130252
112年 - 112 國立嘉義大學_轉學生招生考試試題:微積分#123297
112年 · #123297