所屬科目:研究所、轉學考(插大)-微積分
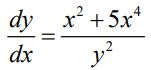
1. Solve the differential equation , where y(0)=1
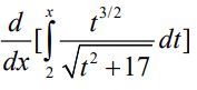
2. (a) Find
(b) Find
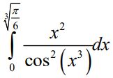
3. Evaluate (a)sin3xcos xdx
(b)Evaluate
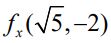
4. (a) Find
(b)f (x,y)=tan-1(y/x) , find.
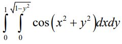
5.Find the centroid of the region(區域質心) under the curve y=sin x , 0 ≤ x ≤ π .
6.Find the mass of the lamina(薄片質量) bounded by r=1+sinθ with the density δ(r,θ)=1 .
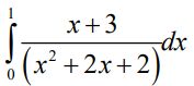
7.Find .
8.Evaluate (a)xdx