阿摩線上測驗
登入
首頁
>
研究所、轉學考(插大)-微積分
> 102年 - 102 淡江大學轉學考_商管組二年級:微積分#53130
102年 - 102 淡江大學轉學考_商管組二年級:微積分#53130
科目:
研究所、轉學考(插大)-微積分 |
年份:
102年 |
選擇題數:
0 |
申論題數:
12
試卷資訊
所屬科目:
研究所、轉學考(插大)-微積分
選擇題 (0)
申論題 (12)
【已刪除】(a)
【已刪除】(b)
【已刪除】2. (10%) Find the constants a and b such that the function
is differentiable at x = 1.
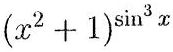
3. If y =
,find dy/dx.
【已刪除】 (a)
【已刪除】(b)
【已刪除】 (c)
5. (10%) What is The Fundamental Theorem of Calculus?
【已刪除】(a)
【已刪除】(b)
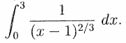
, where a is a nonzero real number.
7. Use a double integral to find the area of the region bounded by 0 ≤ .x ≤ 8, y = 0, y = 2x and xy = 8.
8. A business sells 2000 units of a product per month at a price of $10 each. It can sell 250 more items per month for each $0.25 reduction in price. What price per unit will maximize the monthly revenue?
相關試卷
114年 - 114 臺灣綜合大學系統_學士班轉學生考試試題:微積分A#137897
114年 · #137897
114年 - 114 臺灣綜合大學系統_學士班轉學生考試試題:微積分B#137819
114年 · #137819
114年 - 114 台灣聯合大學系統_學士班轉學生考試試題:微積分#137762
114年 · #137762
114年 - 114 台灣聯合大學系統_學士班轉學生考試試題:微積分#137761
114年 · #137761
114年 - 114 國立臺灣大學_轉學生招生考試_物理學系/土木工程學系/生物環境系統工程學系/生物機電工程學系:微積分(B)#137745
114年 · #137745
114年 - 114 國立臺灣大學_轉學生招生考試_數學系:微積分(A)#137744
114年 · #137744
113年 - 113 國立嘉義大學_轉學生招生考試試題_(全校):微積分#122986
113年 · #122986
112年 - 112 國立臺灣大學_碩士班招生考試題:微積分(D)#130254
112年 · #130254
112年 - 112 國立陽明交通大學_碩士班入學招生試題_統計學研究所﹕微積分與線性代數#130252
112年 · #130252
112年 - 112 國立嘉義大學_轉學生招生考試試題:微積分#123297
112年 · #123297