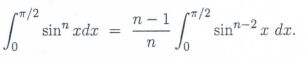
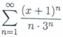
複選題
4. Set f(x, y) = x2 + 2y2. Which of the following must be true? (A) f(x, y) is concave upward on the line $y = -x (B) the relative minimum of f(x, y) subject to the constraint x + y = 1 is
(C) the absolute minimum of f(x, y) on its domain does not exist (D) the minimum rate of change of f(x, y) at the point P(1, -1) is 