所屬科目:研究所、轉學考(插大)-微積分
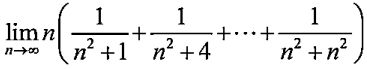
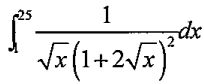
3.=________
(b)=________
5.=________
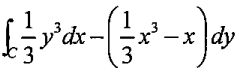
7. Let C be the curve given by y=4x-x2 from (4,0) to (1,3). Then =________
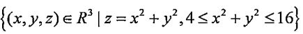
8. Let f(x,y,z)= and S=.Then =________
9. Rewrite the integral as the integral with the order of integration dzdydx:__________
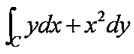
10. Let C be any counterclockwise and simple closed curve. Find the maximum of the line integral :__________