所屬科目:港務局◆機械設計與自動控制
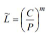
(三) 為選用軸承之基本關係式,其中表示軸承壽命(單位: 106 轉),P 為 軸承承受之等價徑向負荷,C 為動額定負荷,請問式中指數 m 的值為若干?若欲 自軸承型錄上選擇適當的規格品,如何使用該式應用於規格品之選擇上?【10 分
於【圖 3-1】的鋼製軸,材質的降伏強度為 520 MPa,直徑為 35 mm。該軸轉速為 600 rpm,經由齒輪組傳遞 28 kW。該軸上裝置如【圖 3-1】的平行鍵,寬度 w 為 10 mm,高度 h 為 8 mm,材質為冷拉鋼,降伏強度為 450 MPa。設計安全因子為 3.0,分別考慮畸變能 量失敗理論( ),及考慮直接壓應力失敗理論(),請問: (二)作用於該鍵的剪力為何?【5 分】