所屬科目:(甄試)警大◆交通工程(管制)
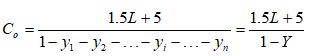
33. 交叉路口最小總延滯之週期長度:,何者正確? (A) L代表每週期之損失時間 (B) yi為時相i臨界車道之流量與飽和流量之比值 (C) 可在間調整週期長度,因總延滯值增加有限 (D) 一般假設飽和流量為2,000輛/小時/車道 (E) 所有臨界車道之流量與飽和流量之比值總和應大於1才有意義