所屬科目:高級作物遺傳與育種學、高等統計方法與試驗設計
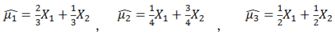
(一)假設母群體為常態分佈(normal distribution)X~N(μ,1),今從此一母群體中抽出
一組隨機樣本(randomsmple)分別為X1,X2請證明下列三個估計量:
皆為母體平均數山的不偏估計量(unbiased estimator),並指出哪一個估計量較為
有效(efficiency)。【15分】
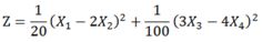
一組随機様本(random sample)分別為X1,X2,X3,X4。試求下列統計量之抽様分布
。【10分】