所屬科目:研究所、轉學考(插大)-微積分
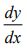
1. Find given that x²y³ − cos x + ln y = 0.
2. Find the derivative of the function F(x) = sin sds.
3. Find the area of the region bounded by the graphs of y = x² and x+y = 2.
4. Find the derivatives of the functions (a) f(x) = , (b) g(x) =).
5. Find
6. Find the integral ∫ x sin 3x dx.
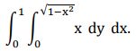
7. Evaluate the iterated integral:
8. Find dw/ds and dw/dt by using the appropriate chain rule, wherew = xyz, x = s + t, y = s - t, z = st².
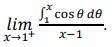
9. Evaluate the limit:
10. Determine whether the improper integral dx diverges or converges. Evaluate the integral if it converges.