所屬科目:研究所、轉學考(插大)-微積分
(a) (6 points)
(b) (6 points)
3. (10 points)
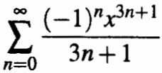
(a) (6 points) Find the convergence set of
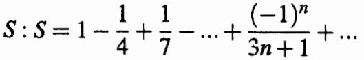
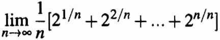
(b) (8 points)Evaluate
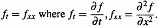
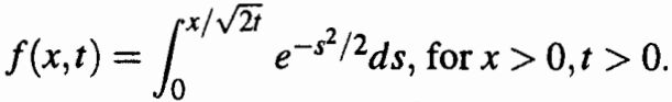
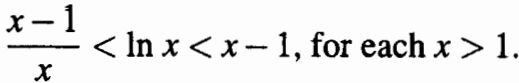
6. (10 points) DefineProve that:
8. (10 points) Find the total arc length of the cardioid r = a(1-cosθ),a>0.
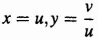
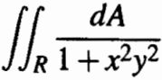
9. (10 points) Use change of variablesto evaluate the integral , where