所屬科目:研究所、轉學考(插大)-微積分
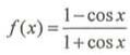
(b) (6%) Approximate 1.2 by P4(x), the 4th Taylor polynomial for f(x) at 1.
(a) (6%)
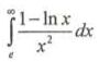
(b)(7%)
(a) (5%)
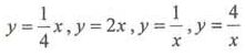
(c) (0%) , R : the region bounded by y=x and y=
(d) (9%) f. R: the region bounded by