所屬科目:研究所、轉學考(插大)-微積分
(b) (6%) Approximate by P4(x), the 4th Taylor polynomial for f(x) at 1.
(a) (6%)
(b)(7%)
(a) (5%)
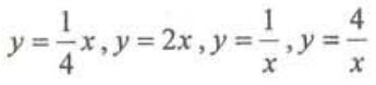
(c) (9%), R : the region bounded by yax and
(d) (9%) , R: the region bounded by