所屬科目:研究所、轉學考(插大)-微積分
2. Express the following function p(x) in the form of f 。g。h
Constraints: functions f 。g。h are exponential, power, and linear functions, respectively. Find f(x) = (20) (1%), g(x) = (2b) (1%), h(x) = (20) (1%)
3.
4.
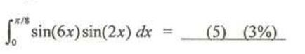
5.
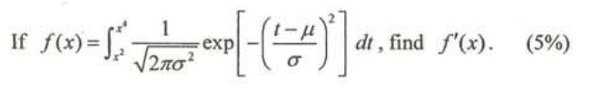
8.
9. Evaluate
10. Find √13 to the 1-st decimal place by the Newton's method with an initial guess of x0 =4. (5%)
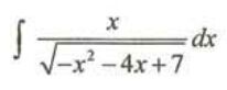
11. Calculaie the integal(10%)
13. Find the volume of the parallelepiped determined by vectors (10%)
14. Find the Maclaurin series of the function and its radius of convergence. (10%)
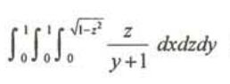
15. Evaluate the integral for by making an appropriate change of variables, where R is given by the inequality |xl+|y|≤.1 .(10%)