所屬科目:研究所、轉學考(插大)-微積分
(1) 極限=__(1)__。
(b) ,答:__ (2b)__。
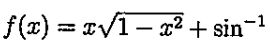
(4)函數f(x)= 的n-階導函數為 __(4)__。
(5)積分dx在a= __(5a)__,b=__ (5b)__ 時,其積分值最小。
(6)積分= __ (6)__。
(7)令f(x,y)=x(x2+y2)-(1,0)=__ (7)__。
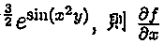
(8)令z=f(x,y),其中x=r2+s2,y=2rs,假設f(x,y)的二階偏導函數均為連續,則 =__(8)__。
(10)參數曲線=((10a), (10b))。
(13)求函數在x=0的Taylor 級數及其收斂半徑。
(15)令R為三條直線2x+3y-7=0,x-2y+4=0及x+5-10=0所圍成的區域,求