所屬科目:研究所、轉學考(插大)-微積分
(b) (8 points) Find the solution to = 2xy(y² + 1) that satisfies y(0) = 1.
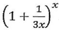
(c) (6 points) Find limₓ→∞.
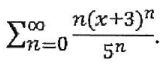
(a) (8 points) Find the convergence radius and interval of the series
(b) (8 points) Find the Taylor series generated by f(x) = at x = 1.
(a)
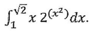
(b) ∫dx.
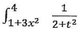
(a) (8 points) Find dy/dx if y =dt.
7. (10 points) The 8 ft wall shown in Fig. 1 stands 27 ft from the building. Find the length of the shortest straight beam that will reach to the side of the building from the ground outside the wall.