所屬科目:研究所、轉學考(插大)-微積分
(a) (5 分)
(b) (5 分)
(c) (5 分)
(d) (5 分) y =
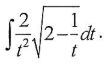
3. (10 分) Find the integral
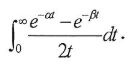
4. (15 分) Find the integral
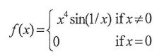
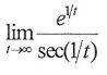
5. (15 分) Is it true thatJustify your answer.
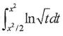
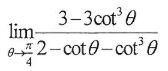
7. (15 分) Is the function continuous on(-∞, ∞)? Justify your answer.