所屬科目:研究所、轉學考(插大)-微積分
(a) (5%)
(b) ∫ln xdx (5%)
(c) (5%)
2. Prove by Mean Value Theorem that (10%)
3. Solve (5%)
(b) (5%)
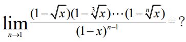
(a) =________(10%)
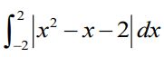
(b) =_________ (10%)
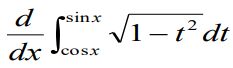
(c) =_______for any r R.(10%)
7. Evaluate the integral ∫tan2 x sec x dx .(10%)
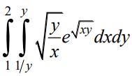
8. Evaluate the double integral by applying the transformation: and integrating over an appropriate region in the uv –plane. (10%)