所屬科目:研究所、轉學考(插大)-微積分
(a) (5 分) y = ln
(a) (5 分)
6. (10 分) 求以圖形 y = 和 y = x² 為界的區域繞 x 軸旋轉所得旋轉體的體積。
7. (10 分) 求冪級數 3n(x - 2)ⁿ 的收斂區間。
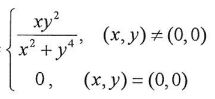
8. (10 分) 已知函數 f(x, y) =, 試求 fₓ(0, 0) 和 fy(0, 0)。
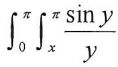
9. (10 分) 計算 dy dx
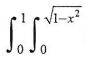
10. (10 分) 計算 (x² + y²) dy dx