阿摩線上測驗
登入
首頁
>
教師專業碩士◆數學專業
> 104年 - 104年台中教大公費碩士數學專業試題#46622
104年 - 104年台中教大公費碩士數學專業試題#46622
科目:
教師專業碩士◆數學專業 |
年份:
104年 |
選擇題數:
0 |
申論題數:
19
試卷資訊
所屬科目:
教師專業碩士◆數學專業
選擇題 (0)
申論題 (19)
1、 設多項式 A px
3
- 2x
2
5x 6q ,且 A 可被 (x -1)(x + 2) 整除,則 p + q = 。
2、 若 f (x) = 2x + 3 與 g(x )=
(x-b)互為反函數,則 a
2
+ b
2
= 。
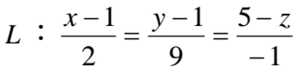
3、 過點 A(5, 7,1) 且包含直線
之平面方程式為 。
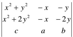
4、 已知 ax + by + c = 0 ,求行列式
之值為 。
5、 求滿足除以 9 餘 7、除以 12 餘 4、除以 21 餘 16 的最小正整數為
6、 拋物線 f (x) = x
2
沿 y= 3x - 2 方向向右上方移動 2√ 10 單位,得到另一拋物線 g (x) = ax
2
+bx+c ,則 a + b + c = 。
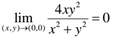
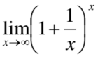
7、 試求
= 。
8、 設 2x= log
5
3 ,則
= 。
9、 設矩陣
經過列運算後得到
,則 p+ q +r =
10、 有兩向量
之夾角為 度。
11、 試求
= 。
12、 試求
= 。
13、 試求矩陣 A =
的秩為
14、 設 a、b 皆為實數,若多項式 f( x)= x
3
- ax
2
-( a +1)x+ b 能被 x -1 整除,且 f (x ) 除以 x- a 的餘式為 r ,則 r 的最大值為 。
15、 試計算級數 0.4+0.044+0.00444+0.0004444+...=
+...= 。
16、 函數 f(x)=
是一個可微分函數,則序對 (a ,b ) = 。
二、計算證明題(20%,請務必寫出計算或證明過程與結果)
1、 試求閉區間 [0.√2] 上的圖形f(x)=x
2
繞 y 軸旋轉所得旋轉面的面積。(8%)
2、 有一比賽,參賽者獲勝一場可得獎金 1000 元,失敗一場需繳罰款 500 元。 A 選手每場比賽獲勝的機率為
,失敗的機率為
。若 A 選手參加 4 場比 賽,試計算 A 選手至少贏得 2000 元的機率。(6%)
3、 試證明
。(6%)
相關試卷
108年 - 台中教育大學教師專業碩士學位學程數學專業#76146
108年 · #76146
107年 - 107 臺中教育大學教師專業碩士學位學程:數學專業#79474
107年 · #79474
106年 - 106 臺中教育大學教師專業碩士學位學程:數學專業#79600
106年 · #79600
103年 - 台中教大公費碩士數學專業試題#68749
103年 · #68749