所屬科目:研究所、轉學考(插大)-微積分
1.Find.Answer:_______
2. If f(x) = Inx + tan-1 x, fnd (f-1)', Answer :_________
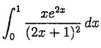
3. Evaluate . Answer:__________
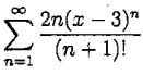
4. Find the interval of convergence of the power series . Answer:__________
5. Find the limit: In t dt. Answer :________
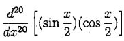
7. FindAnswer : __________
8. Evaluate dydc by applying the transformation u =x+y, u = y - 2x and integrating over a appropriate region in the uv-plane. Answer :_____________
1. Sketch the region of integration, reverse the order of integration, and evaluate the integral dydx.
2 Find the counterclockwise circulation for the field F'=(x+ ex sin y)it(x+ ex cos y)j along the curve C : The right-hand loop of the lemniscate r2 = cos 2θ.