所屬科目:研究所、轉學考(插大)-微積分
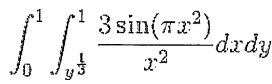
Question 2.(20 points) Evaluate the integral
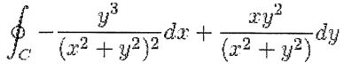
Question 3.(20 points) Compute the line integral where C is the circle x2+y2 = 4 in the counterclockwise direction.
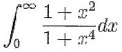
Question 4. (20 points) Evaluate the integral
(Hint: You may use the substitution)
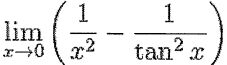
Question 5.(20 points) Find the limit